The research group of Prof. Dongling Deng at the Institute for Interdisciplinary Information Sciences, Tsinghua University have collaborated with the research group of Prof. Zhong Wang at Institute for Advanced Study and the research group of Prof. Luming Duan at the IIIS, Tsinghua University to make theoretical progress in the studies of quantum many-body scars and open quantum systems. The researchers proposed a general framework to exactly embed quantum many-body scars into the decoherence-free subspaces of Lindblad master equations. The research results have recently been published in the journal Physical Review Letters.
In recent years, the rapid development of various quantum devices has provided natural and controllable experimental platforms for the study of non-equilibrium dynamics of quantum many-body systems. Generally, quantum many-body systems tend to thermalize over long-time Hamiltonian evolution, manifested as the relaxation of their subsystems towards thermal equilibrium states, accompanied by the scrambling of local information stored in the initial states. This phenomenon of quantum thermalization can be explained by the "Eigenstate Thermalization Hypothesis", which has been widely confirmed in non-integrable Hamiltonians. Recently, researchers have found several examples that violate the Eigenstate Thermalization Hypothesis, where some highly excited eigenstates of non-integrable Hamiltonians possess small entanglement entropy. These special excited eigenstates are named as “quantum many-body scars”. Interestingly, when these quantum many-body scar states are (approximately) equidistantly spaced in the energy spectrum, the Hamiltonian evolution starting from certain simple initial states can display periodic revival dynamics. This type of many-body dynamics, distinct from integrable systems and many-body localized systems, represents a novel non-equilibrium dynamical phenomenon that violates quantum thermalization.
Since the first experimental discovery of quantum many-body scars in Rydberg-atom quantum simulators, these special quantum states have attracted considerable attention from the community of many-body physics, with researchers identifying or constructing a large number of Hamiltonians hosting quantum many-body scars. However, for open quantum systems with dissipation, engineering many-body scarred dynamics by a controlled coupling to the environment remains largely unexplored. In this work, the research team proposed, for the first time, a rigorous theoretical framework that can embed quantum many-body scars into the decoherence-free subspace of the Lindblad master equation describing the dynamics of open quantum systems (as shown in Figure 1).

Figure 1:Schematic illustration of the protocol for embedding quantum many-body scars into decoherence-free subspaces of Lindblad master equations.
The Lindblad master equations constructed by this method have non-decaying eigenmodes (steady or periodically oscillating modes) that contain and only contain quantum many-body scar states. The advantages of this dissipative protocol include: (1) The dissipative evolution starting from a general initial state (even mixed states) can exhibit persistent periodic scarred oscillations. In contrast, in closed quantum systems one can only observe the scarred oscillations starting from special initial states that have a large overlap with the scarred eigenstates. (2) It has been shown that several quantum many-body scars possess genuine multipartite entanglement, which might have potential applications in quantum enhanced metrology. However, since these scar states are highly excited eigenstates of non-integrable Hamiltonians, there exist very few generic methods to prepare them on quantum devices. This work provides a new, controllable dissipative protocol to effectively prepare these scar states with genuine multipartite entanglement.
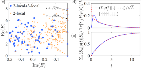
The research team demonstrated the dissipative protocol through several typical models hosting many-body scar towers, and obtained the desired Liouvillian spectrum and dissipative scarred dynamics through numerical calculations (Figure 2). Meanwhile, the study also proposed an experimental scheme based on digital quantum simulation and resetting ancilla qubits, aiming to observe this novel dissipative scarred dynamics on current quantum simulators. This work successfully introduces many-body scarred dynamics into the open quantum system regime. The theoretical techniques developed in this study can provide inspiration for future researches in non-equilibrium quantum many-body dynamics.


Figure 2:Numerical results for the Liouvillian spectrum and dissipative scarred dynamics
The corresponding authors of this work include Prof. Dongling Deng at Institute for Interdisciplinary Information Science, Tsinghua University and Prof. Zhong Wang at Institute for Advanced Study, Tsinghua University. The co-first authors of the paper include He-Ran Wang (PhD student at IAS, Tsinghua), Dong Yuan (PhD student at IIIS, Tsinghua) and Dr. Shun-Yao Zhang (posdoc at IIIS, Tsinghua). This work was supported by the National Natural Science Foundation of China, the Innovation Program for Quantum Science and Technology, National Key R&D Program of China, the Ministry of Education of China, New Cornerstone Investigator Program, Shanghai Qi Zhi Institute, the Tsinghua University Initiative Scientific Research Program, and Tsinghua University Dushi Program.
Paper Link:https://journals.aps.org/prl/abstract/10.1103/PhysRevLett.132.150401
Editor: Jiang Yueliang
Reveiwer: Lv Xiamin