The research group led by Prof. Luming Duan at Tsinghua University has recently achieved a significant breakthrough in the field of quantum simulation. For the first time, they have realized the stable trapping and cooling of a two-dimensional crystal of up to 512 ions and performed quantum simulation with 300 ion qubits. This work marks the world's largest-scale multi-ion quantum simulation with single-qubit resolution, significantly advancing the previous world record of 61 ion qubits. The research findings, detailed in the paper " A site-resolved two-dimensional quantum simulator with hundreds of trapped ions", were recently published in Nature. Reviewers of Nature evaluated this accomplishment as "The quantum simulation results are a dramatic advance over 1D geometries where the largest ion number was 61" and "This work is, to my knowledge, the largest quantum simulation or computation performed to date in a trapped ion system. This is a milestone to be recognized".
Trapped ions are considered as one of the most promising physical platforms for achieving large-scale quantum simulation and quantum computation. Numerous experiments have demonstrated high-precision coherent quantum control of ion qubits, while the scalability still remains a primary challenge for this system. Previously, researchers achieved quantum simulations with up to 61 ions in a one-dimensional crystal using a Paul trap. While a Penning trap allows for quantum simulations with around 200 ions, the lack of single-qubit resolution capability in qubit state detection makes it difficult to extract crucial information such as spatial correlations of the qubits, rendering it unsuitable for quantum computation or complicated quantum simulation tasks.


Fig. 1 Experimental image of the two-dimensional crystal of 512 ions and typical single-qubit-resolved single-shot measurement outcomes for 300 ion qubits.
In this work, Prof. Luming Duan's team employed cryogenic monolithic ion trap technology and a two-dimensional ion crystal scheme to significantly expand the number of ion qubits and to enhance the stability of the ion crystal. They successfully achieved the stable trapping and sideband cooling of 512 ions and performed quantum state measurements with single-qubit resolution for 300 ions for the first time.
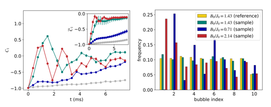
Researchers further utilized 300 ion qubits to realize the quantum simulation of a long-range transverse-field Ising model with tunable coupling. On the one hand, they prepared the ground state of the frustrated Ising model through quasi-adiabatic evolution and measured the spatial correlations of the qubits. They extracted information about the collective vibrational modes of the ions and compared them with theoretical results for validation. On the other hand, the researchers performed quantum simulation on the dynamics of the model and conducted quantum sampling from the final states. Through coarse-grained analysis, they verified the non-trivial probability distributions of the obtained samples, which were challenging to directly sample from by classical computers. This experimental system provides a powerful tool for further research into the important challenge of understanding many-body non-equilibrium quantum dynamics.


Fig. 2 Typical Quantum simulation results of 300-ion long-range transverse-field Ising model.
The corresponding author of the paper is IIIS Professor Luming Duan, and the first author is IIIS PhD student Shian Guo. Other co-authors include IIIS Assistant Professor Yukai Wu, IIIS PhD students Jing Ye, Lin Zhang, Ye Wang, Ruoyu Yan, Yujin Yi, Yulin Xu, Yunhan Hou, IIIS postdoc Yuzi Xu, Chi Zhang, IIIS Assistant Researcher Binxiang Qi and Associate Researcher Zichao Zhou, Li He, and HYQ Co. members Wenqian Lian, Rui Yao, Bowen Li, and Weixuan Guo. This work was supported by Innovation Program for Quantum Science and Technology (2021ZD0301601, 2021ZD0301605), Tsinghua University Initiative Scientific Research Program, the Ministry of Education of China, the New Cornerstone Investigator Program, Tsinghua University Dushi program and the start-up fund.
Paper Link: https://www.nature.com/articles/s41586-024-07459-0
Editor: Yueliang Jiang
Reviewer: Xiamin Lv