The ion-trap quantum computation research group led by Prof. Kihwan Kim in Center of Quantum Information (CQI), Institute for Interdisciplinary Information Sciences (IIIS), Tsinghua University, have recently successfully generated largest NOON-state type of entanglement with phonons of a trapped ion system. The work was published on Oct. 18, in Physical Review Letters, with the title of “NOON States of Nine Quantized Vibrations in Two Radial Modes of a Trapped Ion.”
NOON state is the maximal entangled state of N indistinguishable bosonic particles. NOON states, in particular high NOON states with large particle number N, have wide applications in quantum metrology, imaging, lithography, and fundamental test of quantum coherence and entanglement. Large experimental efforts have been devoted to preparation of the NOON states. So far, NOON states have been prepared for photons with particle numbers up to five. Pushing on the particle number N is critically important for application of the NOON states but very challenging for experiments.

Figure 1 Generation sequence of the NOON state of N=3. The 3D grid describes the total Hilbert space of the system that consists of spin and X and Y vibrational modes. The lower and the upper layers represent
and
spin states, and X and Y axes stand for the X and Y modes. The red arrows indicate carrier transitions, the blue arrows indicate blue-sideband transitions, and the green arrows indicate composite-pulse operations. The numbers on the arrows denote the order of the operations.
In this paper, Prof. Kim’s team have developed a general and deterministic method to generate high NOON states for any large N and experimentally prepared high NOON states for phonons with particle numbers up to N=9. As an experimental record, the high NOON states open up important perspectives in applications.
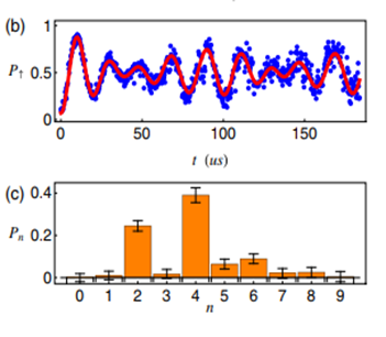
Figure 2 Parity oscillations of the generated NOON states N=1-9. (a) The blue dots are experimental data, and the red lines are fitting curves. (b) The time evolution of the blue-sideband transition of the output mode with φ=0 for the NOON state of N=7 and its fitting. (c) The corresponding phonon distribution
.
The corresponding authors of this paper are Prof. Kihwan Kim, associate professor of IIIS, Junhua Zhang, graduated doctoral student, and Mark Um, PhD candidate, with Zhang and Um as the co-authors.
This experiment was developed and completed by Junhua Zhang, Mark Umand Dingshun Lv, graduated doctoral student. Prof. Luming Duan, CC Yao Professor, provided theoretical support for this experiment. This research was supported by National Program on Key Basic Research Project of China and the National Natural Science Foundation of China.
Link of the paper
https://journals.aps.org/prl/pdf/10.1103/PhysRevLett.121.160502