交叉信息研究院段路明研究组近期利用囚禁离子实现了合成维度和人工磁场的量子模拟。段路明研究组利用离子的内部自旋和外部空间振动自由度,分别模拟一个空间维度,实现了双脚梯(two-leg ladder)格点上各向异性Harper-Hofstadter模型和可控磁场的量子模拟,并观测到其中拓扑边缘态的手性运动和量子相变等现象,展现了离子阱系统通过量子模拟研究拓扑量子态的重要应用。该成果论文《Realizing Synthetic Dimensions and Artificial Magnetic Flux in a Trapped-Ion Quantum Simulator》近日发表于国际学术期刊Physical Review Letters(《物理评论快报》)。
合成维度是量子模拟研究拓扑物态的重要手段,可用于研究实验室难以直接获得的高维材料性质,也可通过调节格点之间的跃迁振幅实现可控的人工磁场,模拟实验中难以直接达到的磁场强度。此前,在中性原子、光子学等系统中已通过内部能级和离散的频率、动量、角动量等模式实现过合成维度。本工作首次在离子阱系统,利用离子在空间振动的无穷维福克态(Fock state)实现合成维度,扩展了合成维度的实现方式和在离子阱系统的应用。

图1 实验方案示意图
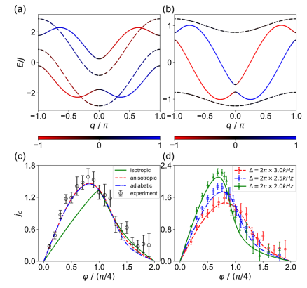
为获得合成维度,研究人员设计方案利用多频激光实现离子内部能级和空间振动自由度之间的耦合,进而将两种自由度映射为双脚梯格点,从而产生格点之间相位可调的跃迁,以实现可控的人工磁场。研究人员首先在不同实验参数下验证了所获得的各向异性Harper-Hofstadter模型量子模拟结果的正确性,进而演示了该模型中拓扑手性边缘态的运动。研究人员设计准绝热演化路径制备该模型的基态,并测量其手性电流随着人工磁场的变化,演示了该模型的量子相变特性。该工作有望推广到更高的合成维度,拓展了离子阱量子模拟平台在拓扑量子物态研究的应用,同时也将Harper-Hofstadter模型的量子相变与自旋-玻色子模型的量子相变关联起来,加深对其物理机制的理解。

图2 实验测量各向异性Harper-Hofstadter模型量子相变
该论文通讯作者为清华大学交叉信息研究院段路明教授。清华大学交叉信息研究院2019级博士生王也和交叉信息研究院助理教授吴宇恺为论文共同一作。其他作者包括交叉信息研究院博士后姜越、华翊量子成员蔡明磊、李博文、梅全鑫、交叉信息研究院助理研究员祁宾祥以及副研究员周子超。该工作得到了科技创新2030 —“量子通信与量子计算机”重大项目(2021ZD0301601)、清华大学自主科研计划、教育部、新基石研究员项目、国家重点研发计划(2020YFA0309500)、清华大学笃实专项和启动经费的资助与支持。
论文链接:https://link.aps.org/doi/10.1103/PhysRevLett.132.130601
编辑 | 姜月亮
审核 | 吕厦敏